
Phosphonomycin (R)-1-phenethylamine salt | CAS:25383-07-7
Phosphonomycin (R)-1-phenethylamine salt
- Name:Phosphonomycin (R)-1-phenethylamine salt
- CAS:25383-07-7
- Synonyms:(R)-alpha-Methylbenzenemethanamine (2R-cis)-(3-methyloxiranyl)phosphonate (1:1)
- Molecular Formula:C8H11N.C3H7O4P
- Molecular Weight:259.24
- EINESC:
Description
Properties
没有数据 | 没有数据 |
---|
Safety
没有数据 | 没有数据 |
---|
SDS
Source | SDS/MSDS Samples |
---|---|
没有数据 | 没有数据 |
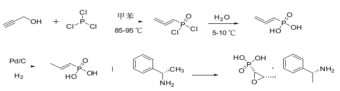
Synthetic Route
Articles
Peer-Reviewed Papers
Remarks
Products protected by valid patents are not offered for sale in countries where the sale of such products constitutes a patent infringement and its liability is at buyer's risk.
Products currently covered by valid US Patents are offered for R&D use in accordance with 35 USC 271 +A13(1).
RelatedAPI's
Name | CAS | |
---|---|---|
Fosfomycin | 23155-02-4 | View |

Related Products
Related News
Question
Hot Tags
Inquiry
Fill in related informations ;please!
- Please fill in product name !
- CAS
- Please fill in your company information correctly!
- Please fill in liaison information correctly!
- Please fill in your telephone number correctly!
- Please fill in your email correctly!
- Please describe the problem of products!