Inquiry
Fill in related informations ;please!
Product Info
Product Name
Synonyms
CAS
Molecular Formula Upload
Contact Us
Company
Name
Tel
Email
Details
Submit
中文版 English
Enter Product Name;CAS or Molecular Formula
Perfluoroisobutyric acid | CAS:335-10-4
Perfluoroisobutyric acid
  • Name:Perfluoroisobutyric acid
  • CAS:335-10-4
  • Synonyms:
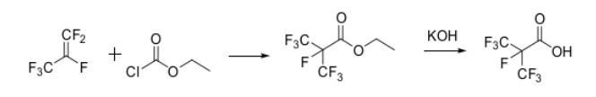
  • Molecular Formula:Description for Route of synthesis: Raw materials: Hexafluoropropylene 116-15-4 Ethyl chloroformate 541-41-3 Ethyl 2,2-bis(trifluoromethyl)-3,3,3-trifluoropropanoate
  • Molecular Weight:214.04
  • EINESC:

Description

Description for Route of synthesis: Raw materials: Hexafluoropropylene 116-15-4 Ethyl chloroformate 541-41-3 Ethyl 2,2-bis(trifluoromethyl)-3,3,3-trifluoropropanoate

Properties

Boiling point 117.5 °C
Density 1.649 g/cm3

Safety

没有数据没有数据

SDS

Source SDS/MSDS Samples
没有数据没有数据
Synthetic Route
More

Name CAS
More
Articles
Peer-Reviewed Papers
Remarks

Products protected by valid patents are not offered for sale in countries where the sale of such products constitutes a patent infringement and its liability is at buyer's risk.

Products currently covered by valid US Patents are offered for R&D use in accordance with 35 USC 271 +A13(1).

Name CAS

Related Products

Related News

Question
Hot Tags
Inquiry
Fill in related informations ;please!
Product Info
Product Name
Synonyms
CAS
Molecular Formula Upload
Contact Us
Company
Name
Tel
Email
Details
Submit