Inquiry
Fill in related informations ;please!
Product Info
Product Name
Synonyms
CAS
Molecular Formula Upload
Contact Us
Company
Name
Tel
Email
Details
Submit
中文版 English
Enter Product Name;CAS or Molecular Formula
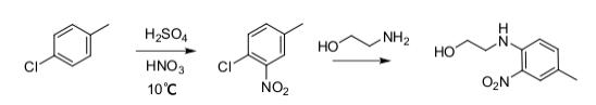
2-(4-Methyl-2-nitrophenylamino)ethanol | CAS:100418-33-5
2-(4-Methyl-2-nitrophenylamino)ethanol
  • Name:2-(4-Methyl-2-nitrophenylamino)ethanol
  • CAS:100418-33-5
  • Synonyms:3-Nitro-4-hydroxyethylaminotoluene
  • Molecular Formula:C9H12N2O3
  • Molecular Weight:196.20
  • EINESC:

Description

Properties

没有数据没有数据

Safety

没有数据没有数据

SDS

Source SDS/MSDS Samples
没有数据没有数据
Synthetic Route
More

Name CAS
More
Articles
Peer-Reviewed Papers
Remarks

Products protected by valid patents are not offered for sale in countries where the sale of such products constitutes a patent infringement and its liability is at buyer's risk.

Products currently covered by valid US Patents are offered for R&D use in accordance with 35 USC 271 +A13(1).

Name CAS

Related Products

Related News

Question
Hot Tags
Inquiry
Fill in related informations ;please!
Product Info
Product Name
Synonyms
CAS
Molecular Formula Upload
Contact Us
Company
Name
Tel
Email
Details
Submit