Inquiry
Fill in related informations ;please!
Product Info
Product Name
Synonyms
CAS
Molecular Formula Upload
Contact Us
Company
Name
Tel
Email
Details
Submit
中文版 English
Enter Product Name;CAS or Molecular Formula
N-[(9H-Fluoren-9-ylmethoxy)carbonyl]-L-serine 1,1-dimethylethyl ester | CAS:110797-35-8
N-[(9H-Fluoren-9-ylmethoxy)carbonyl]-L-serine 1,1-dimethylethyl ester
  • Name:N-[(9H-Fluoren-9-ylmethoxy)carbonyl]-L-serine 1,1-dimethylethyl ester
  • CAS:110797-35-8
  • Synonyms:
  • Molecular Formula:C22H25NO5
  • Molecular Weight:383.44
  • EINESC:

Description

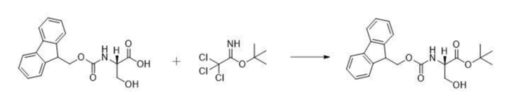
Description for Route of Synthesis: In a dry reaction vessel, dissolve Fmoc-L-serine in ethyl acetate and stir until completely dissolved. Then slowly add a cyclohexane solution of tert butyl trichloroacetamide, control the temperature, and continue stirring until the reaction is complete.

Properties

Melting point 130 ºC**
Density 1.216±0.06 g/cm3 (20 º

Safety

没有数据没有数据

SDS

Source SDS/MSDS Samples
没有数据没有数据
Synthetic Route
More

Name CAS
More
Articles
Peer-Reviewed Papers
Remarks

Products protected by valid patents are not offered for sale in countries where the sale of such products constitutes a patent infringement and its liability is at buyer's risk.

Products currently covered by valid US Patents are offered for R&D use in accordance with 35 USC 271 +A13(1).

Name CAS

Related Products

Related News

Question
Hot Tags
Inquiry
Fill in related informations ;please!
Product Info
Product Name
Synonyms
CAS
Molecular Formula Upload
Contact Us
Company
Name
Tel
Email
Details
Submit