Inquiry
Fill in related informations ;please!
Product Info
Product Name
Synonyms
CAS
Molecular Formula Upload
Contact Us
Company
Name
Tel
Email
Details
Submit
中文版 English
Enter Product Name;CAS or Molecular Formula
R 7128 | CAS:940908-79-2
R 7128
  • Name:R 7128
  • CAS:940908-79-2
  • Synonyms:Mericitabine; RG 7128; (2'R)- 2'-Deoxy-2'-fluoro-2'-methylcytidine 3',5'-bis(2-methylpropanoate)
  • Molecular Formula:C18H26FN3O6
  • Molecular Weight:399.41
  • EINESC:

Description

Properties

Density 1.36

Safety

没有数据没有数据

SDS

Source SDS/MSDS Samples
没有数据没有数据
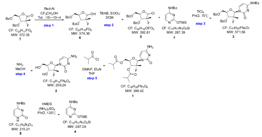
Synthetic Route
More

Name CAS
More
Articles
Peer-Reviewed Papers
Remarks

Products protected by valid patents are not offered for sale in countries where the sale of such products constitutes a patent infringement and its liability is at buyer's risk.

Products currently covered by valid US Patents are offered for R&D use in accordance with 35 USC 271 +A13(1).

Name CAS

Related Products

Related News

Question
Hot Tags
Inquiry
Fill in related informations ;please!
Product Info
Product Name
Synonyms
CAS
Molecular Formula Upload
Contact Us
Company
Name
Tel
Email
Details
Submit